

누구나 한 번쯤은 허리 통증을 겪을 만큼, 허리 통증은 흔한 근골격계 통증 중 하나입니다.
선행 연구에 따르면, 허리 통증으로 인한 두려움은 정상적인 몸통 근육 조절을 방해하며
이로 인한 활동 제한과 회피는 복부 근육 활성도 패턴에서의 변화를 유발하여 척추 움직임에 손상을 일으킵니다.
특히, 보행 시에
허리 통증 정도에 따라, 중증의 경우 더 높은 불편함을 보였습니다.
그리고 허리 통증이 있을 경우, 얕은 복부 근육(배곧은근, 외복사근) 활성도가 증가된다고 하였으며
또 다른 연구에서는 허리 통증이 있을 경우 내복사근과 배곧은근의 활성도가 감소된다고 하였습니다.

위 연구를 통해 보행 시 허리 통증이 있을 경우 다른 복부 근육 활성 패턴을 보인다는 점은 알아냈지만,
어떤 복부 근육의 활성 패턴이 허리 통증의 통증 강도와 관련이 있는지는 알 수 없었습니다.
이에, 허리 통증 정도(중증/경증)과 건강한 사람들 간의 복부 근육 활성도의 차이와
보행 시, 허리 통증이 있는 사람들 간 통증 강도, 불편함, 공포-회피, 복부 근육 활성도에서의
연관성을 알아보았습니다.
실험 방법
중증 허리 통증(통증 평가 척도>=5) 그룹과 경증 허리 통증(통증 평가 척도<5) 그룹, 통증이 없는 그룹을 비교하여
다음과 같은 항목을 확인하였습니다.
먼저, 설문지를 통한 요통 기능 장애 척도; 일상생활에서의 활동 제한 정도; 공포-회피 반응 정도를 조사하였습니다.

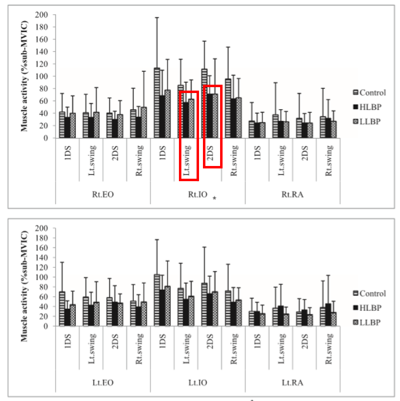
두 번째로, 각 그룹간 입각기/유각기 동안 복부 근육 활성도를 측정하였습니다.
실험 결과

중증 허리 통증의 경우,
높은 통증 평가 척도와 일상생활에서의 높은 활동 제한을 나타냈습니다.
그리고 왼쪽 다리의 유각기 기간과 두 번째 입각기 동안 오른쪽 내복사근의 낮은 활성도를 보였습니다.
경증 허리 통증의 경우,
두 번째 입각기 동안 오른쪽 내복사근의 낮은 활성도를 보였습니다.
결과적으로,
중증 허리 통증과 경증 허리 통증 그룹 사이에서
보행 시, 복부 근육 활성도에서의 유의한 차이가 발견되지 않았습니다.
통증이 없는 그룹과 통증이 있는 그룹을 비교하였을 때
통증이 있는 그룹에서 오른쪽 내복사근의 낮은 활성도를 보였으며
외복사근과 배곧은근 활성도에서의 유의한 차이는 발견하지 못했습니다.

그리고 보행 시, 통증 정도와 일상 생활 활동 제한 정도간;
요통 기능 장애 척도와 일상 생활 활동 제한 간;
요통 기능 장애 척도와 공포-회피 반응 간 연관성을 보였습니다.
정리하면,
공포-회피 반응 정도를 통해, 급성 허리 통증 환자의 향후 불폄감을 예측할 수 있으며,
복부 근육 활성도의 변화가 허리 통증 재발과 지속에 중요한 영향을 끼칠 수 있습니다.
